Home
(current)
About Us
NMC
NIRF
News
Departments
Medical College
Anatomy
Biochemistry
Community Medicine
Forensic Medicine
Pathology
Pharmacology
Physiology
Plastic & Reconstructive Surgery
Respiratory Medicine
Nmch
Anaesthesiology
Ophthalmology
Ent
General Surgery
Transfusion Medicine & Immunohematology
Radiodiagnosis
General Medicine
Nuclear Medicine
Family Medicine
Emergency Medicine
Super Speciality
Cardiology
Cardiovascular And Thoracic Surgery
Neurosurgery
Imch
Paediatrics
Icd
Icd
Stipend details
Contact
News Detail
10
Nov.25
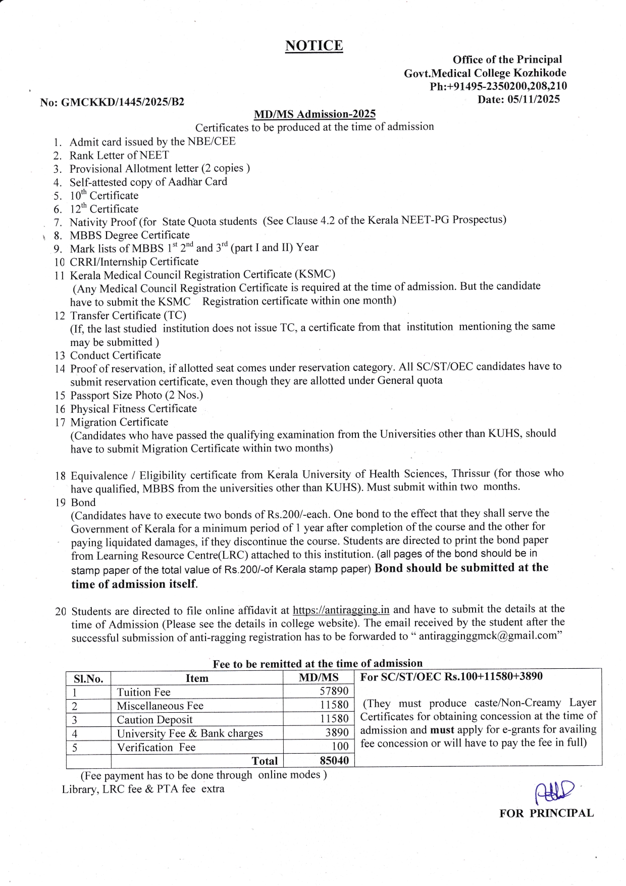
MD/MS Admission Notice 2025
.